Si legge in: 8 minuti
Cambia colore:
Calabria terra d'accoglienza
Un pacchetto di misure di integrazione e di lotta all’illegalità sta consentendo di gestire i flussi di immigrazione nella regione. E le ricadute in termini economici e demografici si fanno già senti…
Pubblicato il: 10/07/2019 – 10:48
00:00
00:00
Ascolta la versione audio dell'articolo

di Roberto De Santo
Cambia pelle il fenomeno dell’immigrazione in Italia e si trasforma sempre più da emergenza occasionale a problema strutturale e permanente. Così dai flussi emergenziali, ma pur sempre limitati, legati ai conflitti bellici degli anni 90 nei Balcani o all’esplosione politica dei Paesi dell’ex blocco sovietico si è passati alla fuga di intere popolazioni da un continente – in primis l’Africa – devastato da guerre civili, carestie e povertà.
Un esodo che ha investito in pieno l’Europa e di cui l’Italia – con i suoi territori come quello calabrese più esposti al Mediterraneo – ne è diventata la prima linea di approdo. I numeri, riportati nel report del ministero dell’Interno, sono la dimostrazione plastica di questa trasformazione. Considerando le domande di richiedenti asilo, infatti, si è passati da 4.573 del 1990 a 53.596 dello scorso anno. E se 28 anni addietro gran parte di questi provenivano dall’Europa (3.226 contro i 1.014 dell’Africa), ora la situazione si è completamente ribaltata. Con 25.231 domande richieste da cittadini provenienti dall’Africa (47%), il Continente nostro dirimpettaio ha superato nettamente l’Europa. Nel 2018 sono state infatti 5.135 le domande inoltrate dagli europei (il 10 per cento circa).
Un fenomeno però che non può essere letto solo in termini di costi per il sistema italiano dell’accoglienza, visto che gran parte dei flussi migratori arrivati e che sono poi rimasti in Italia e dunque anche in Calabria hanno contribuito a far crescere l’economia locale.
I dati che provengono dall’Istat ad esempio dimostrano con certezza che il numero di stranieri che hanno scelto di risiedere nel Paese e nella regione ha permesso di tamponare la decrescita demografica che si è registrata negli ultimi anni in Italia.
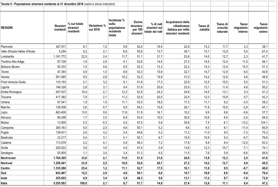
Leggendo i dati dell’ultimo report “Bilancio demografico nazionale” dell’Istat emerge che a fine 2018 per il quarto anno consecutivo il Paese ha registrato una flessione della popolazione residente: dal 2015 risultano 400mila in meno. Solo nel 2018 si registra una diminuzione di 124.427 cittadini. Come se un grosso centro italiano ogni anno fosse svanito nel nulla. Viceversa il numero di cittadini stranieri che risultano iscritti alle anagrafi italiane nello stesso periodo è cresciuto: da 5.144.440 di gennaio 2018 a 5.255.503 di fine anno.
Un incremento che ha visto la nostra regione registrare il numero maggiore, in termini percentuali, di crescita in Italia tra il 2016 e lo scorso anno: +4,1 per cento contro la media italiana del 2,1 per cento.
I RIFLESSI POSITIVI PER ECONOMIA E PREVIDENZA Ma un volume così elevato di presenze si traduce non solo in un incremento demografico, ma anche ha riflessi in termini sociali ed economici. Basti considerare che un decimo della popolazione scolastica in Italia è composta da alunni stranieri e che oltre un lavoratore su dieci non è italiano. In quest’ultimo caso il loro apporto è determinante per la tenuta del nostro sistema previdenziale, dato che gli stranieri fanno confluire nelle casse dell’Inps 19,2 miliardi contro una spesa pubblica di 17,5 miliardi.
Su questo fronte, badando ai dati solo calabresi, emerge che il valore aggiunto prodotto dagli occupati in Calabria è stato pari 1,340 miliardi di euro che rappresenta il 4,6% dell’intero valore aggiunto della regione e, in termini di Prodotto interno lordo italiano, ben l’un per cento. Nel 2015 – ultimo dato a disposizione – nelle casse dell’Inps sono finiti ben 149 milioni di euro di contributi previdenziali dall’occupazione di stranieri in Calabria che hanno dunque partecipato attivamente al mantenimento del sistema pensionistico e del welfare italiano. Numeri che dimostrano quanto sia importante saper gestire i flussi migratori trasformandoli da “problema” – come attualmente vengono percepiti dall’opinione pubblica – in risorsa. Soprattutto in un territorio di frontiera quale è la nostra regione.
IMMIGRAZIONE E FLUSSI IN CALABRIA L’elevata incidenza degli stranieri sulla popolazione residente in Calabria è ormai strutturale. Nel 2018 rappresentava circa il 5,2% della popolazione. Nell’arco di otto anni mentre il numero di cittadini italiani è costantemente diminuito, quello degli stranieri residenti è viceversa aumentato.
Due terzi della popolazione straniera risiede nel Cosentino e nel Reggino un dato che ovviamente tiene conto del maggior numero di popolazione presente in queste due province ma anche della struttura socio-economica più sviluppata nelle due aree della regione. Motivo per il quale gli stranieri prediligono risiedere in queste zone dove contribuiscono attivamente allo sviluppo di alcuni settori: su tutti l’agricoltura, il turismo stagionale e l’assistenza domestica. Anche in questo caso il trend di crescita dell’incidenza del numero di occupati stranieri sul totale dei lavoratori calabresi è netto. Si è passati dal 5,6% del 2008 al 12,7% del 2015.
Ma accanto a questo aspetto, positivo per la crescita economica complessiva della regione, vi è il rischio di sfruttamento del lavoro irregolare. Soprattutto nel comparto agricolo, comparto dove largamente si fa uso di lavoratori in nero attinti nel bacino degli immigrati presenti in regione e dove si sono registrati casi estremi nella Piana di Gioia Tauro proprio per la presenza massiccia di extracomunitari provenienti dall’Africa. Su tutti ricordiamo il decesso di due migranti sfruttati come braccianti agricoli irregolari morti in due diversi roghi scoppiati nella tendopoli – poi smantellata – di San Ferdinando. Proprio per fronteggiare questi fenomeni dai risvolti così drammatici sono nate decine di iniziative portate avanti da associazioni del Terzo settore, ma anche da enti locali. Anzi in questo campo la Calabria detiene alcuni record positivi: è leader in Italia per progetti di integrazione (123). Proprio grazie a questo protagonismo la regione ha ottenuto 3.537 posti della rete del sistema territoriale Sipromi (ex Sprar).
Dai dati del ministero dell’Interno risulta che al 30 giugno scorso risultano presenti in Calabria complessivamente 4.353 immigrati nelle strutture d’accoglienza. Precisamente 2.058 nei centri di accoglienza e 2.295 nei centri Sipromi. Un numero che rappresenta il 4% del totale degli immigrati in Italia.
LA GESTIONE DEI FLUSSI E INIZIATIVE Per gestire questa massa di persone provenienti per lo più dall’Africa si è progressivamente sviluppato una rete di accoglienza che racchiude sia i centri governativi di primo soccorso ed accoglienza sia le sedi di seconda accoglienza messe in piedi dagli Enti locali con la collaborazione dell’associazioni del Terzo settore. Un protagonismo della solidarietà e dell’integrazione che ha portato appunto la Calabria ad essere leader per progettualità nella gestione dei flussi migratori e dunque nella loro integrazione.
L’ultimo provvedimento messo in piedi dalla giunta regionale – con l’approvazione del Piano regionale triennale (2019-2021) per l’accoglienza dei richiedenti asilo, dei rifugiati e sviluppo sociale, economico e culturale delle comunità locali – non è che uno dei pezzi delle iniziative organizzate per affrontare organicamente il fenomeno. In essere infatti ci sono le azioni contemplate nel Pon “Inclusione supreme più”. Misure che prevedono, tra l’altro, il potenziamento dei servizi erogati dai Centri per l’impiego e la formazione dei migranti (dotazione di oltre 1,3 milioni). Così come le misure inserite nel progetto “Calabria accoglie 2.0” (dotazione 615mila euro) e “Calabria friends” che prevede corsi di formazione linguistica a più livelli (un milione). Ci sono poi le iniziative finanziate dal progetto “Com.In 4.0” con una dotazione di oltre 775mila euro e quelle di “Incipit” da poco più di un milione di euro per l’emersione delle vittime della tratta. E la Legge Regionale 18 del 2009 per azioni a valere sull’abitare diffuso, fondo di garanzia, servizi innovativi per il trasporto, mediazione legale e azioni di sensibilizzazione che ha in dotazione 1,06 milioni.
Mentre sono in via di approvazione due programmi: Supreme (per la realizzazione di strutture mobili di prima ospitalità dei lavoratori senza dimora) e il pacchetto di progetti per la prevenzione e il contrasto dello sfruttamento lavorativo in agricoltura. Iniziative e misure che il Piano triennale, ora al vaglio della Terza commissione del Consiglio regionale, cercherà di dare ulteriori impulsi nella filosofia della «complementarietà», come la definisce lo stesso piano.
ROBBE: «MISURE ORGANICHE PER GESTIRE IL FENOMENO» «Con il Piano triennale abbiamo dato seguito ad una legge che era nata alcuni anni addietro per affrontare l’emergenza dell’immigrazione, ma che era rimasta lettera morta». Così l’assessore al Welfare Angela Robbe illustra le motivazione che sono alla base del provvedimento licenziato dalla giunta regionale lo scorso giugno.
Un pacchetto di misure con una dotazione di un milione di euro che strutturano iniziative lungo sei linee di intervento: «Dalle misure mirate alla presa in carico dei soggetti fuoriusciti dai percorsi di accoglienza per effetto della conversione del decreto Sicurezza – spiega – alle azioni di supporto all’inserimento lavorativo in contrasto allo sfruttamento, passando al sostegno all’affitto alle attività di promozione e sensibilizzazione». «Il piano punta a dare seguito – sottolinea Robbe – alle buone pratiche ampiamente messe in campo dal mondo del volontariato e degli Enti locali per gestire i flussi migratori presenti in Calabria. Il nostro intento è quello di non farci soffocare dal caos provocato dall’entrata in vigore di normative che di fatto smantellano quel sistema che aveva dato risposte convincenti a questo fenomeno». Per l’assessore al Welfare, «rappresenta un primo passo concreto verso l’integrazione e una risposta ad un’evidenza che qualcuno vuole negare». «I migranti presenti ora sul territorio – evidenzia – ci sono e vanno considerati come persone e come tali vanno trattate. Non possono scomparire. Noi ci stiamo muovendo proprio in questa direzione. Nel non far finta che il problema non esiste, ma affrontandolo con misure organiche». «Ecco, come Regione – aggiunge – stiamo cercando di gestire il fenomeno canalizzandolo in una rete che trasformi il problema in risorsa per il territorio». In quest’ottica Robbe ricorda «due obiettivi immediati che ci ripromettiamo: contrastare lo sfruttamento dei migranti nei lavori irregolari e renderli capaci di collaborare alla crescita dell’economia sana dei territori». «Non è con azioni estemporanee dal sapore squisitamente populistico – conclude l’assessore – che si fronteggia un fenomeno epocale qual è quello dell’immigrazione, ma con misure strutturali ed organiche. Da parte nostra stiamo lavorando proprio in questa direzione». (r.desanto@corrierecal.it)
Un fenomeno però che non può essere letto solo in termini di costi per il sistema italiano dell’accoglienza, visto che gran parte dei flussi migratori arrivati e che sono poi rimasti in Italia e dunque anche in Calabria hanno contribuito a far crescere l’economia locale.
I dati che provengono dall’Istat ad esempio dimostrano con certezza che il numero di stranieri che hanno scelto di risiedere nel Paese e nella regione ha permesso di tamponare la decrescita demografica che si è registrata negli ultimi anni in Italia.
Leggendo i dati dell’ultimo report “Bilancio demografico nazionale” dell’Istat emerge che a fine 2018 per il quarto anno consecutivo il Paese ha registrato una flessione della popolazione residente: dal 2015 risultano 400mila in meno. Solo nel 2018 si registra una diminuzione di 124.427 cittadini. Come se un grosso centro italiano ogni anno fosse svanito nel nulla. Viceversa il numero di cittadini stranieri che risultano iscritti alle anagrafi italiane nello stesso periodo è cresciuto: da 5.144.440 di gennaio 2018 a 5.255.503 di fine anno.
Un incremento che ha visto la nostra regione registrare il numero maggiore, in termini percentuali, di crescita in Italia tra il 2016 e lo scorso anno: +4,1 per cento contro la media italiana del 2,1 per cento.
I RIFLESSI POSITIVI PER ECONOMIA E PREVIDENZA Ma un volume così elevato di presenze si traduce non solo in un incremento demografico, ma anche ha riflessi in termini sociali ed economici. Basti considerare che un decimo della popolazione scolastica in Italia è composta da alunni stranieri e che oltre un lavoratore su dieci non è italiano. In quest’ultimo caso il loro apporto è determinante per la tenuta del nostro sistema previdenziale, dato che gli stranieri fanno confluire nelle casse dell’Inps 19,2 miliardi contro una spesa pubblica di 17,5 miliardi.
Su questo fronte, badando ai dati solo calabresi, emerge che il valore aggiunto prodotto dagli occupati in Calabria è stato pari 1,340 miliardi di euro che rappresenta il 4,6% dell’intero valore aggiunto della regione e, in termini di Prodotto interno lordo italiano, ben l’un per cento. Nel 2015 – ultimo dato a disposizione – nelle casse dell’Inps sono finiti ben 149 milioni di euro di contributi previdenziali dall’occupazione di stranieri in Calabria che hanno dunque partecipato attivamente al mantenimento del sistema pensionistico e del welfare italiano. Numeri che dimostrano quanto sia importante saper gestire i flussi migratori trasformandoli da “problema” – come attualmente vengono percepiti dall’opinione pubblica – in risorsa. Soprattutto in un territorio di frontiera quale è la nostra regione.
IMMIGRAZIONE E FLUSSI IN CALABRIA L’elevata incidenza degli stranieri sulla popolazione residente in Calabria è ormai strutturale. Nel 2018 rappresentava circa il 5,2% della popolazione. Nell’arco di otto anni mentre il numero di cittadini italiani è costantemente diminuito, quello degli stranieri residenti è viceversa aumentato.
Due terzi della popolazione straniera risiede nel Cosentino e nel Reggino un dato che ovviamente tiene conto del maggior numero di popolazione presente in queste due province ma anche della struttura socio-economica più sviluppata nelle due aree della regione. Motivo per il quale gli stranieri prediligono risiedere in queste zone dove contribuiscono attivamente allo sviluppo di alcuni settori: su tutti l’agricoltura, il turismo stagionale e l’assistenza domestica. Anche in questo caso il trend di crescita dell’incidenza del numero di occupati stranieri sul totale dei lavoratori calabresi è netto. Si è passati dal 5,6% del 2008 al 12,7% del 2015.
Ma accanto a questo aspetto, positivo per la crescita economica complessiva della regione, vi è il rischio di sfruttamento del lavoro irregolare. Soprattutto nel comparto agricolo, comparto dove largamente si fa uso di lavoratori in nero attinti nel bacino degli immigrati presenti in regione e dove si sono registrati casi estremi nella Piana di Gioia Tauro proprio per la presenza massiccia di extracomunitari provenienti dall’Africa. Su tutti ricordiamo il decesso di due migranti sfruttati come braccianti agricoli irregolari morti in due diversi roghi scoppiati nella tendopoli – poi smantellata – di San Ferdinando. Proprio per fronteggiare questi fenomeni dai risvolti così drammatici sono nate decine di iniziative portate avanti da associazioni del Terzo settore, ma anche da enti locali. Anzi in questo campo la Calabria detiene alcuni record positivi: è leader in Italia per progetti di integrazione (123). Proprio grazie a questo protagonismo la regione ha ottenuto 3.537 posti della rete del sistema territoriale Sipromi (ex Sprar).
Dai dati del ministero dell’Interno risulta che al 30 giugno scorso risultano presenti in Calabria complessivamente 4.353 immigrati nelle strutture d’accoglienza. Precisamente 2.058 nei centri di accoglienza e 2.295 nei centri Sipromi. Un numero che rappresenta il 4% del totale degli immigrati in Italia.
LA GESTIONE DEI FLUSSI E INIZIATIVE Per gestire questa massa di persone provenienti per lo più dall’Africa si è progressivamente sviluppato una rete di accoglienza che racchiude sia i centri governativi di primo soccorso ed accoglienza sia le sedi di seconda accoglienza messe in piedi dagli Enti locali con la collaborazione dell’associazioni del Terzo settore. Un protagonismo della solidarietà e dell’integrazione che ha portato appunto la Calabria ad essere leader per progettualità nella gestione dei flussi migratori e dunque nella loro integrazione.
L’ultimo provvedimento messo in piedi dalla giunta regionale – con l’approvazione del Piano regionale triennale (2019-2021) per l’accoglienza dei richiedenti asilo, dei rifugiati e sviluppo sociale, economico e culturale delle comunità locali – non è che uno dei pezzi delle iniziative organizzate per affrontare organicamente il fenomeno. In essere infatti ci sono le azioni contemplate nel Pon “Inclusione supreme più”. Misure che prevedono, tra l’altro, il potenziamento dei servizi erogati dai Centri per l’impiego e la formazione dei migranti (dotazione di oltre 1,3 milioni). Così come le misure inserite nel progetto “Calabria accoglie 2.0” (dotazione 615mila euro) e “Calabria friends” che prevede corsi di formazione linguistica a più livelli (un milione). Ci sono poi le iniziative finanziate dal progetto “Com.In 4.0” con una dotazione di oltre 775mila euro e quelle di “Incipit” da poco più di un milione di euro per l’emersione delle vittime della tratta. E la Legge Regionale 18 del 2009 per azioni a valere sull’abitare diffuso, fondo di garanzia, servizi innovativi per il trasporto, mediazione legale e azioni di sensibilizzazione che ha in dotazione 1,06 milioni.
Mentre sono in via di approvazione due programmi: Supreme (per la realizzazione di strutture mobili di prima ospitalità dei lavoratori senza dimora) e il pacchetto di progetti per la prevenzione e il contrasto dello sfruttamento lavorativo in agricoltura. Iniziative e misure che il Piano triennale, ora al vaglio della Terza commissione del Consiglio regionale, cercherà di dare ulteriori impulsi nella filosofia della «complementarietà», come la definisce lo stesso piano.
ROBBE: «MISURE ORGANICHE PER GESTIRE IL FENOMENO» «Con il Piano triennale abbiamo dato seguito ad una legge che era nata alcuni anni addietro per affrontare l’emergenza dell’immigrazione, ma che era rimasta lettera morta». Così l’assessore al Welfare Angela Robbe illustra le motivazione che sono alla base del provvedimento licenziato dalla giunta regionale lo scorso giugno.
Un pacchetto di misure con una dotazione di un milione di euro che strutturano iniziative lungo sei linee di intervento: «Dalle misure mirate alla presa in carico dei soggetti fuoriusciti dai percorsi di accoglienza per effetto della conversione del decreto Sicurezza – spiega – alle azioni di supporto all’inserimento lavorativo in contrasto allo sfruttamento, passando al sostegno all’affitto alle attività di promozione e sensibilizzazione». «Il piano punta a dare seguito – sottolinea Robbe – alle buone pratiche ampiamente messe in campo dal mondo del volontariato e degli Enti locali per gestire i flussi migratori presenti in Calabria. Il nostro intento è quello di non farci soffocare dal caos provocato dall’entrata in vigore di normative che di fatto smantellano quel sistema che aveva dato risposte convincenti a questo fenomeno». Per l’assessore al Welfare, «rappresenta un primo passo concreto verso l’integrazione e una risposta ad un’evidenza che qualcuno vuole negare». «I migranti presenti ora sul territorio – evidenzia – ci sono e vanno considerati come persone e come tali vanno trattate. Non possono scomparire. Noi ci stiamo muovendo proprio in questa direzione. Nel non far finta che il problema non esiste, ma affrontandolo con misure organiche». «Ecco, come Regione – aggiunge – stiamo cercando di gestire il fenomeno canalizzandolo in una rete che trasformi il problema in risorsa per il territorio». In quest’ottica Robbe ricorda «due obiettivi immediati che ci ripromettiamo: contrastare lo sfruttamento dei migranti nei lavori irregolari e renderli capaci di collaborare alla crescita dell’economia sana dei territori». «Non è con azioni estemporanee dal sapore squisitamente populistico – conclude l’assessore – che si fronteggia un fenomeno epocale qual è quello dell’immigrazione, ma con misure strutturali ed organiche. Da parte nostra stiamo lavorando proprio in questa direzione». (r.desanto@corrierecal.it) Argomenti
Categorie collegate
Ultime dal Corriere della Calabria
Edizioni provinciali